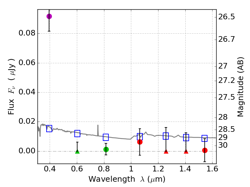
RXS0603+42-N IR detection object #5784

Color images and BPZ results
Catalog: 5784.cat
Black segments are analyzed here.   Roll mouse over color images to view segments.
Best viewed in a wide browser window (1200 pixels or more).   Download SED & P(z) plots to view larger versions.
In P(z) plots: Yellow lines mark the cluster redshift z = 0.228,  

Object #5784   x,y = (3969, 1572)   RA, Dec = (06:03:06.216, 42:14:52.08) = (90.77590, 42.24780)   BPZ = 1.702 [0.646--2.721]   type = 11.00 (SB11_A_0_l)   stellarity = 0.45   chisq2 = 16.38   ODDS = 0.27   z_cluster = 0.228