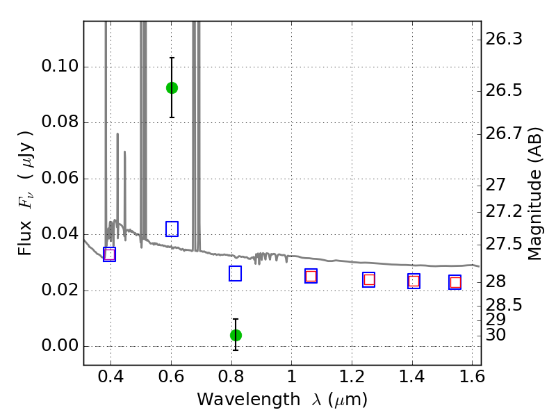
RXS0603+42-N IR detection object #5775

Color images and BPZ results
Catalog: 5775.cat
Black segments are analyzed here.   Roll mouse over color images to view segments.
Best viewed in a wide browser window (1200 pixels or more).   Download SED & P(z) plots to view larger versions.
In P(z) plots: Yellow lines mark the cluster redshift z = 0.228,  

Object #5775   x,y = (1078, 1575)   RA, Dec = (06:03:21.840, 42:14:52.08) = (90.84100, 42.24780)   BPZ = 0.026 [0.024--3.163]   type = 11.00 (SB11_A_0_l)   stellarity = 0.76   chisq2 = 33.13   ODDS = 0.07   z_cluster = 0.228