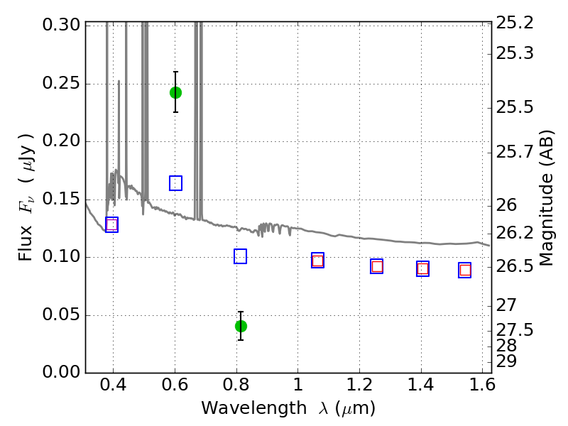
RXS0603+42-N IR detection object #5764

Color images and BPZ results
Catalog: 5764.cat
Black segments are analyzed here.   Roll mouse over color images to view segments.
Best viewed in a wide browser window (1200 pixels or more).   Download SED & P(z) plots to view larger versions.
In P(z) plots: Yellow lines mark the cluster redshift z = 0.228,  

Object #5764   x,y = (1089, 1578)   RA, Dec = (06:03:21.768, 42:14:52.44) = (90.84070, 42.24790)   BPZ = 0.021 [0.010--0.048]   type = 11.00 (SB11_A_0_l)   stellarity = 0.67   chisq2 = 27.93   ODDS = 0.99   z_cluster = 0.228