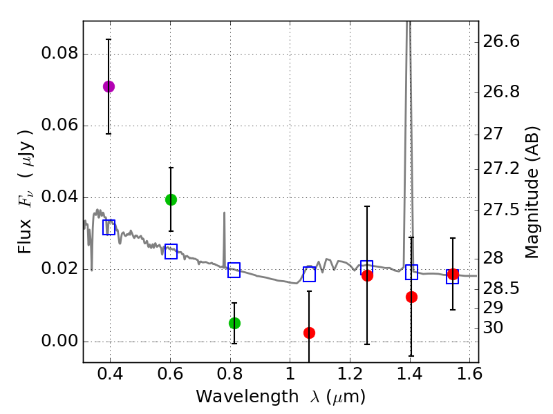
RXS0603+42-N IR detection object #5743

Color images and BPZ results
Catalog: 5743.cat
Black segments are analyzed here.   Roll mouse over color images to view segments.
Best viewed in a wide browser window (1200 pixels or more).   Download SED & P(z) plots to view larger versions.
In P(z) plots: Yellow lines mark the cluster redshift z = 0.228,  

Object #5743   x,y = (3796, 1590)   RA, Dec = (06:03:07.152, 42:14:53.16) = (90.77980, 42.24810)   BPZ = 1.794 [1.179--2.570]   type = 11.00 (SB11_A_0_l)   stellarity = 0.37   chisq2 = 4.80   ODDS = 0.27   z_cluster = 0.228