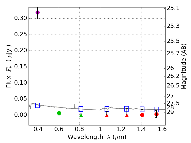
RXS0603+42-N IR detection object #5739

Color images and BPZ results
Catalog: 5739.cat
Black segments are analyzed here.   Roll mouse over color images to view segments.
Best viewed in a wide browser window (1200 pixels or more).   Download SED & P(z) plots to view larger versions.
In P(z) plots: Yellow lines mark the cluster redshift z = 0.228,  

Object #5739   x,y = (2642, 1591)   RA, Dec = (06:03:13.368, 42:14:53.16) = (90.80570, 42.24810)   BPZ = 1.700 [1.160--2.260]   type = 11.00 (SB11_A_0_l)   stellarity = 0.64   chisq2 = 55.19   ODDS = 0.44   z_cluster = 0.228