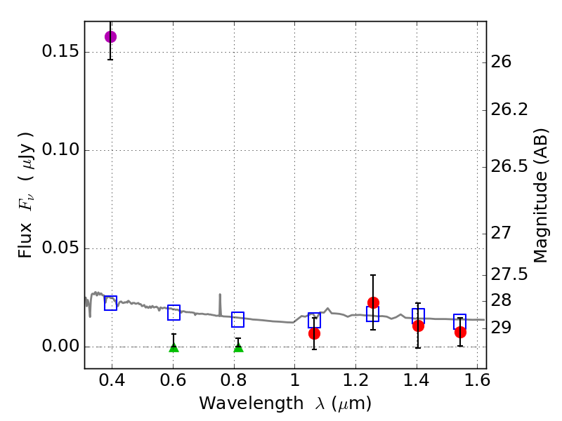
RXS0603+42-N IR detection object #5695

Color images and BPZ results
Catalog: 5695.cat
Black segments are analyzed here.   Roll mouse over color images to view segments.
Best viewed in a wide browser window (1200 pixels or more).   Download SED & P(z) plots to view larger versions.
In P(z) plots: Yellow lines mark the cluster redshift z = 0.228,  

Object #5695   x,y = (2632, 1611)   RA, Dec = (06:03:13.440, 42:14:54.24) = (90.80600, 42.24840)   BPZ = 1.696 [1.103--2.193]   type = 11.00 (SB11_A_0_l)   stellarity = 0.66   chisq2 = 36.63   ODDS = 0.46   z_cluster = 0.228