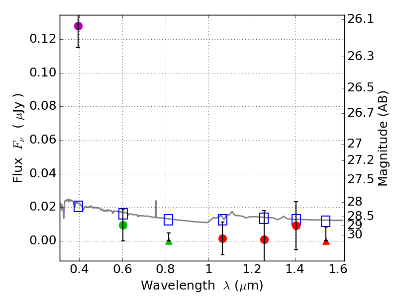
RXS0603+42-N IR detection object #5688

Color images and BPZ results
Catalog: 5688.cat
Black segments are analyzed here.   Roll mouse over color images to view segments.
Best viewed in a wide browser window (1200 pixels or more).   Download SED & P(z) plots to view larger versions.
In P(z) plots: Yellow lines mark the cluster redshift z = 0.228,  

Object #5688   x,y = (3819, 1613)   RA, Dec = (06:03:07.032, 42:14:54.60) = (90.77930, 42.24850)   BPZ = 1.699 [0.843--2.460]   type = 11.00 (SB11_A_0_l)   stellarity = 0.67   chisq2 = 19.69   ODDS = 0.35   z_cluster = 0.228