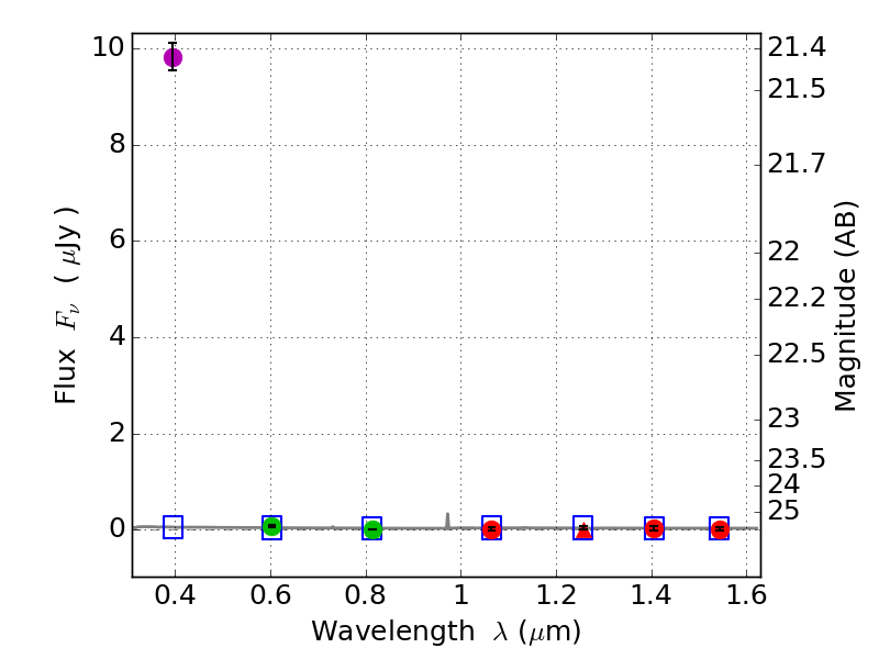
RXS0603+42-N IR detection object #5665

Color images and BPZ results
Catalog: 5665.cat
Black segments are analyzed here.   Roll mouse over color images to view segments.
Best viewed in a wide browser window (1200 pixels or more).   Download SED & P(z) plots to view larger versions.
In P(z) plots: Yellow lines mark the cluster redshift z = 0.228,  

Object #5665   x,y = (4127, 1614)   RA, Dec = (06:03:05.352, 42:14:54.60) = (90.77230, 42.24850)   BPZ = 1.609 [0.551--2.887]   type = 11.00 (SB11_A_0_l)   stellarity = 1.00   chisq2 = 286.40   ODDS = 0.20   z_cluster = 0.228