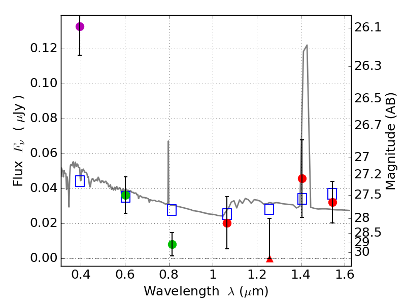
RXS0603+42-N IR detection object #5613

Color images and BPZ results
Catalog: 5613.cat
Black segments are analyzed here.   Roll mouse over color images to view segments.
Best viewed in a wide browser window (1200 pixels or more).   Download SED & P(z) plots to view larger versions.
In P(z) plots: Yellow lines mark the cluster redshift z = 0.228,  

Object #5613   x,y = (3408, 1638)   RA, Dec = (06:03:09.240, 42:14:56.04) = (90.78850, 42.24890)   BPZ = 1.854 [1.249--2.294]   type = 11.00 (SB11_A_0_l)   stellarity = 0.37   chisq2 = 9.06   ODDS = 0.33   z_cluster = 0.228