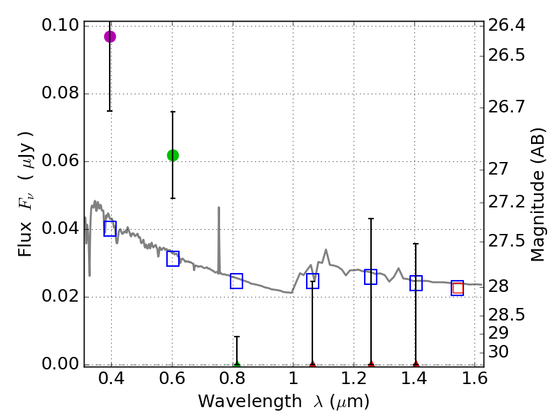
RXS0603+42-N IR detection object #5585

Color images and BPZ results
Catalog: 5585.cat
Black segments are analyzed here.   Roll mouse over color images to view segments.
Best viewed in a wide browser window (1200 pixels or more).   Download SED & P(z) plots to view larger versions.
In P(z) plots: Yellow lines mark the cluster redshift z = 0.228,  

Object #5585   x,y = (4102, 1640)   RA, Dec = (06:03:05.496, 42:14:56.04) = (90.77290, 42.24890)   BPZ = 1.700 [0.586--2.729]   type = 11.00 (SB11_A_0_l)   stellarity = 0.04   chisq2 = 7.26   ODDS = 0.21   z_cluster = 0.228