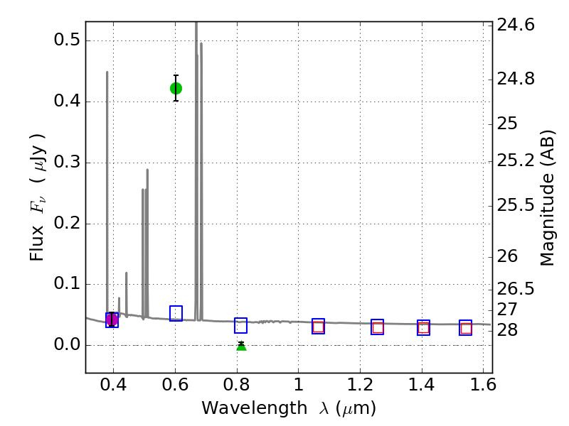
RXS0603+42-N IR detection object #5567

Color images and BPZ results
Catalog: 5567.cat
Black segments are analyzed here.   Roll mouse over color images to view segments.
Best viewed in a wide browser window (1200 pixels or more).   Download SED & P(z) plots to view larger versions.
In P(z) plots: Yellow lines mark the cluster redshift z = 0.228,  

Object #5567   x,y = (4166, 1649)   RA, Dec = (06:03:05.136, 42:14:56.76) = (90.77140, 42.24910)   BPZ = 0.021 [0.010--1.642]   type = 11.00 (SB11_A_0_l)   stellarity = 0.67   chisq2 = 338.70   ODDS = 0.96   z_cluster = 0.228