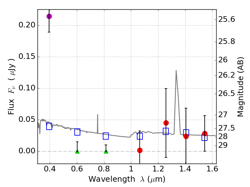
RXS0603+42-N IR detection object #5562

Color images and BPZ results
Catalog: 5562.cat
Black segments are analyzed here.   Roll mouse over color images to view segments.
Best viewed in a wide browser window (1200 pixels or more).   Download SED & P(z) plots to view larger versions.
In P(z) plots: Yellow lines mark the cluster redshift z = 0.228,  

Object #5562   x,y = (4111, 1636)   RA, Dec = (06:03:05.448, 42:14:56.04) = (90.77270, 42.24890)   BPZ = 1.695 [0.777--2.699]   type = 11.00 (SB11_A_0_l)   stellarity = 0.04   chisq2 = 14.15   ODDS = 0.23   z_cluster = 0.228