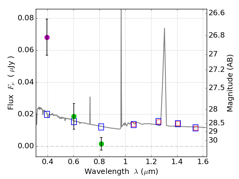
RXS0603+42-N IR detection object #554

Color images and BPZ results
Catalog: 554.cat
Black segments are analyzed here.   Roll mouse over color images to view segments.
Best viewed in a wide browser window (1200 pixels or more).   Download SED & P(z) plots to view larger versions.
In P(z) plots: Yellow lines mark the cluster redshift z = 0.228,  

Object #554   x,y = (2717, 3543)   RA, Dec = (06:03:12.984, 42:16:50.16) = (90.80410, 42.28060)   BPZ = 1.596 [0.841--2.634]   type = 11.00 (SB11_A_0_l)   stellarity = 0.30   chisq2 = 24.74   ODDS = 0.22   z_cluster = 0.228