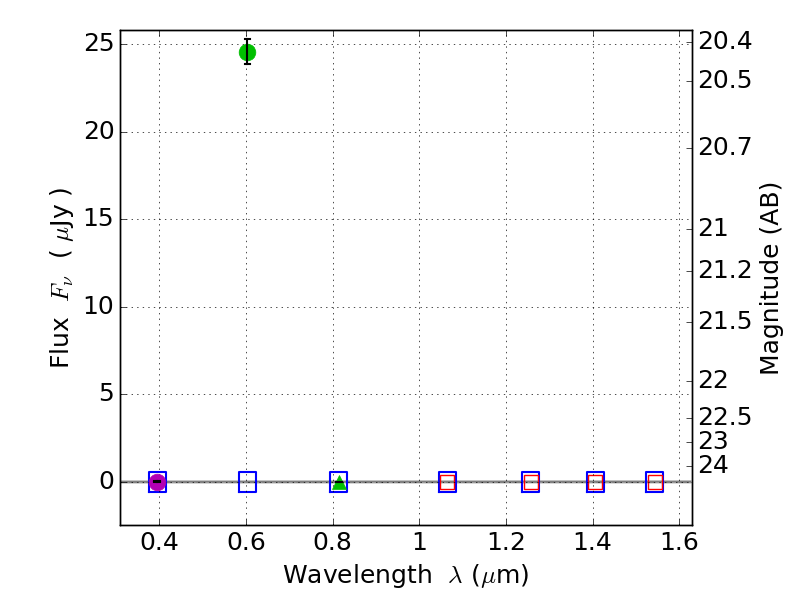
RXS0603+42-N IR detection object #553

Color images and BPZ results
Catalog: 553.cat
Black segments are analyzed here.   Roll mouse over color images to view segments.
Best viewed in a wide browser window (1200 pixels or more).   Download SED & P(z) plots to view larger versions.
In P(z) plots: Yellow lines mark the cluster redshift z = 0.228,  

Object #553   x,y = (2917, 3542)   RA, Dec = (06:03:11.904, 42:16:50.16) = (90.79960, 42.28060)   BPZ = 0.386 [0.060--0.926]   type = 7.00 (Scd_B10)   stellarity = 1.00   chisq2 = 1150.00   ODDS = 0.19   z_cluster = 0.228