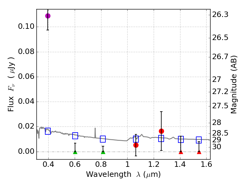
RXS0603+42-N IR detection object #5520

Color images and BPZ results
Catalog: 5520.cat
Black segments are analyzed here.   Roll mouse over color images to view segments.
Best viewed in a wide browser window (1200 pixels or more).   Download SED & P(z) plots to view larger versions.
In P(z) plots: Yellow lines mark the cluster redshift z = 0.228,  

Object #5520   x,y = (1831, 1667)   RA, Dec = (06:03:17.760, 42:14:57.84) = (90.82400, 42.24940)   BPZ = 1.700 [0.643--2.661]   type = 11.00 (SB11_A_0_l)   stellarity = 0.65   chisq2 = 18.79   ODDS = 0.29   z_cluster = 0.228