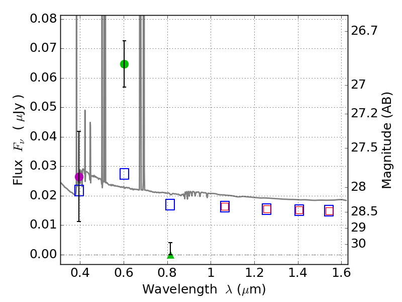
RXS0603+42-N IR detection object #5501

Color images and BPZ results
Catalog: 5501.cat
Black segments are analyzed here.   Roll mouse over color images to view segments.
Best viewed in a wide browser window (1200 pixels or more).   Download SED & P(z) plots to view larger versions.
In P(z) plots: Yellow lines mark the cluster redshift z = 0.228,  

Object #5501   x,y = (1256, 1673)   RA, Dec = (06:03:20.880, 42:14:58.20) = (90.83700, 42.24950)   BPZ = 0.027 [0.023--2.966]   type = 11.00 (SB11_A_0_l)   stellarity = 0.55   chisq2 = 36.05   ODDS = 0.08   z_cluster = 0.228