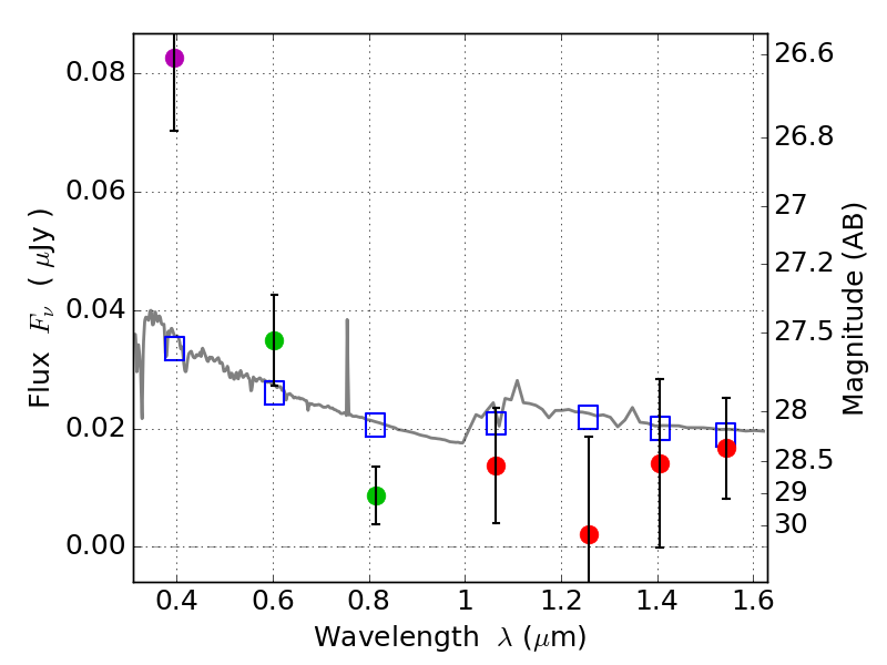
RXS0603+42-N IR detection object #5463

Color images and BPZ results
Catalog: 5463.cat
Black segments are analyzed here.   Roll mouse over color images to view segments.
Best viewed in a wide browser window (1200 pixels or more).   Download SED & P(z) plots to view larger versions.
In P(z) plots: Yellow lines mark the cluster redshift z = 0.228,  

Object #5463   x,y = (2018, 1677)   RA, Dec = (06:03:16.752, 42:14:58.20) = (90.81980, 42.24950)   BPZ = 1.701 [1.266--2.440]   type = 11.00 (SB11_A_0_l)   stellarity = 0.37   chisq2 = 5.90   ODDS = 0.33   z_cluster = 0.228