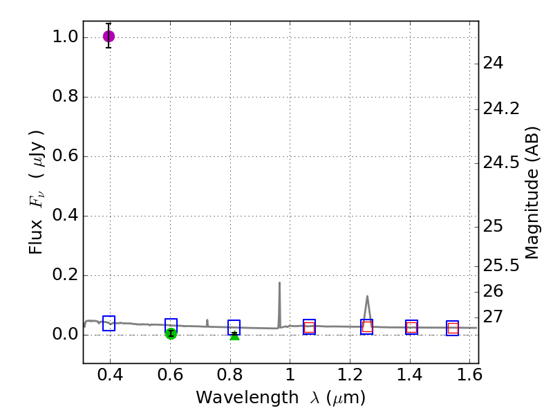
RXS0603+42-N IR detection object #5452

Color images and BPZ results
Catalog: 5452.cat
Black segments are analyzed here.   Roll mouse over color images to view segments.
Best viewed in a wide browser window (1200 pixels or more).   Download SED & P(z) plots to view larger versions.
In P(z) plots: Yellow lines mark the cluster redshift z = 0.228,  

Object #5452   x,y = (1272, 1682)   RA, Dec = (06:03:20.784, 42:14:58.56) = (90.83660, 42.24960)   BPZ = 1.594 [1.181--2.150]   type = 11.00 (SB11_A_0_l)   stellarity = 0.89   chisq2 = 605.40   ODDS = 0.35   z_cluster = 0.228