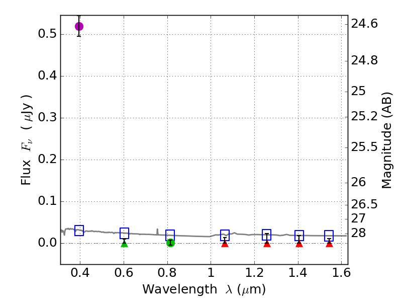
RXS0603+42-N IR detection object #5448

Color images and BPZ results
Catalog: 5448.cat
Black segments are analyzed here.   Roll mouse over color images to view segments.
Best viewed in a wide browser window (1200 pixels or more).   Download SED & P(z) plots to view larger versions.
In P(z) plots: Yellow lines mark the cluster redshift z = 0.228,  

Object #5448   x,y = (3990, 1677)   RA, Dec = (06:03:06.096, 42:14:58.20) = (90.77540, 42.24950)   BPZ = 1.700 [1.135--2.238]   type = 11.00 (SB11_A_0_l)   stellarity = 0.77   chisq2 = 100.30   ODDS = 0.46   z_cluster = 0.228