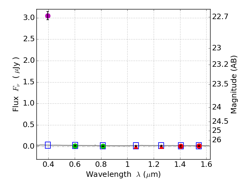
RXS0603+42-N IR detection object #5447

Color images and BPZ results
Catalog: 5447.cat
Black segments are analyzed here.   Roll mouse over color images to view segments.
Best viewed in a wide browser window (1200 pixels or more).   Download SED & P(z) plots to view larger versions.
In P(z) plots: Yellow lines mark the cluster redshift z = 0.228,  

Object #5447   x,y = (3991, 1681)   RA, Dec = (06:03:06.096, 42:14:58.56) = (90.77540, 42.24960)   BPZ = 1.700 [0.531--2.907]   type = 11.00 (SB11_A_0_l)   stellarity = 0.97   chisq2 = 252.30   ODDS = 0.22   z_cluster = 0.228