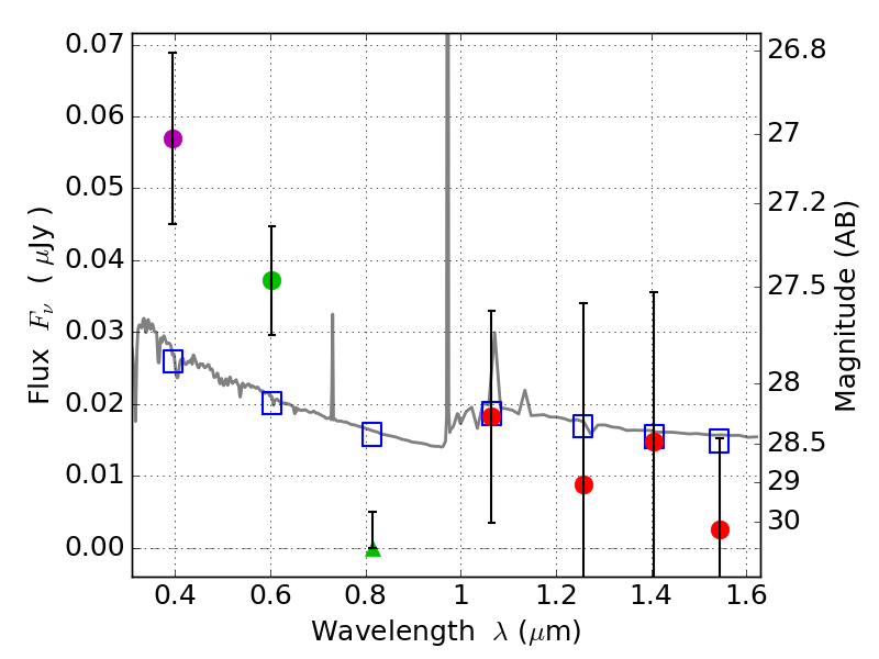
RXS0603+42-N IR detection object #5359

Color images and BPZ results
Catalog: 5359.cat
Black segments are analyzed here.   Roll mouse over color images to view segments.
Best viewed in a wide browser window (1200 pixels or more).   Download SED & P(z) plots to view larger versions.
In P(z) plots: Yellow lines mark the cluster redshift z = 0.228,  

Object #5359   x,y = (4097, 1651)   RA, Dec = (06:03:05.520, 42:14:56.76) = (90.77300, 42.24910)   BPZ = 1.611 [0.866--2.589]   type = 11.00 (SB11_A_0_l)   stellarity = 0.07   chisq2 = 5.40   ODDS = 0.28   z_cluster = 0.228