RXS0603+42-N IR detection object #5353

Color images and BPZ results
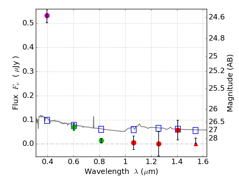
Catalog: 5353.cat
Black segments are analyzed here.   Roll mouse over color images to view segments.
Best viewed in a wide browser window (1200 pixels or more).   Download SED & P(z) plots to view larger versions.
In P(z) plots: Yellow lines mark the cluster redshift z = 0.228,  

Object #5353   x,y = (4080, 1649)   RA, Dec = (06:03:05.616, 42:14:56.76) = (90.77340, 42.24910)   BPZ = 1.698 [1.513--1.981]   type = 11.00 (SB11_A_0_l)   stellarity = 0.64   chisq2 = 57.24   ODDS = 0.70   z_cluster = 0.228