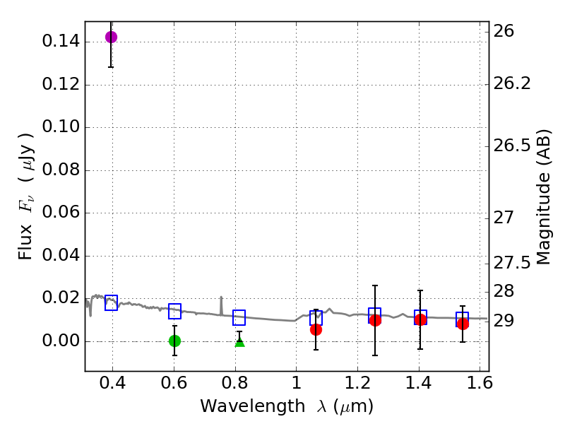
RXS0603+42-N IR detection object #5345

Color images and BPZ results
Catalog: 5345.cat
Black segments are analyzed here.   Roll mouse over color images to view segments.
Best viewed in a wide browser window (1200 pixels or more).   Download SED & P(z) plots to view larger versions.
In P(z) plots: Yellow lines mark the cluster redshift z = 0.228,  

Object #5345   x,y = (2006, 1713)   RA, Dec = (06:03:16.824, 42:15:00.36) = (90.82010, 42.25010)   BPZ = 1.698 [0.726--3.008]   type = 11.00 (SB11_A_0_l)   stellarity = 0.64   chisq2 = 20.62   ODDS = 0.24   z_cluster = 0.228