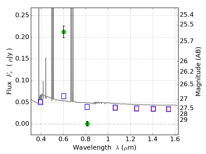
RXS0603+42-N IR detection object #5320

Color images and BPZ results
Catalog: 5320.cat
Black segments are analyzed here.   Roll mouse over color images to view segments.
Best viewed in a wide browser window (1200 pixels or more).   Download SED & P(z) plots to view larger versions.
In P(z) plots: Yellow lines mark the cluster redshift z = 0.228,  

Object #5320   x,y = (1152, 1715)   RA, Dec = (06:03:21.432, 42:15:00.72) = (90.83930, 42.25020)   BPZ = 0.020 [0.010--0.048]   type = 11.00 (SB11_A_0_l)   stellarity = 0.99   chisq2 = 139.50   ODDS = 0.99   z_cluster = 0.228