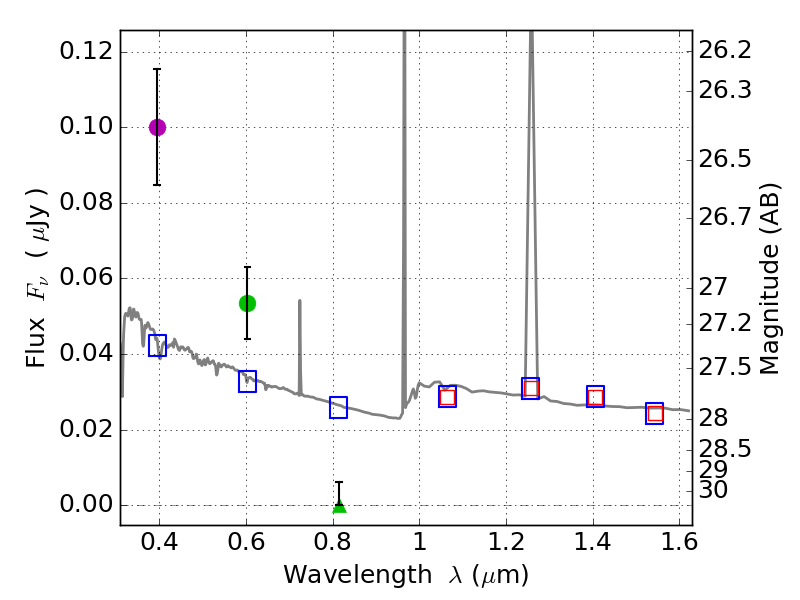
RXS0603+42-N IR detection object #5231

Color images and BPZ results
Catalog: 5231.cat
Black segments are analyzed here.   Roll mouse over color images to view segments.
Best viewed in a wide browser window (1200 pixels or more).   Download SED & P(z) plots to view larger versions.
In P(z) plots: Yellow lines mark the cluster redshift z = 0.228,  

Object #5231   x,y = (4135, 1656)   RA, Dec = (06:03:05.304, 42:14:57.12) = (90.77210, 42.24920)   BPZ = 1.595 [1.271--2.287]   type = 11.00 (SB11_A_0_l)   stellarity = 0.51   chisq2 = 32.48   ODDS = 0.32   z_cluster = 0.228