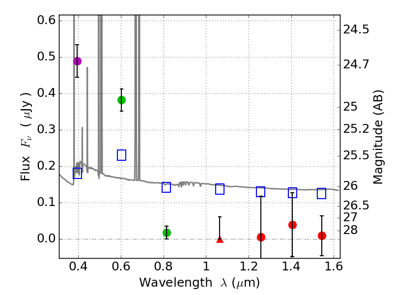
RXS0603+42-N IR detection object #5228

Color images and BPZ results
Catalog: 5228.cat
Black segments are analyzed here.   Roll mouse over color images to view segments.
Best viewed in a wide browser window (1200 pixels or more).   Download SED & P(z) plots to view larger versions.
In P(z) plots: Yellow lines mark the cluster redshift z = 0.228,  

Object #5228   x,y = (4104, 1711)   RA, Dec = (06:03:05.472, 42:15:00.36) = (90.77280, 42.25010)   BPZ = 0.019 [0.011--2.027]   type = 11.00 (SB11_A_0_l)   stellarity = 0.03   chisq2 = 25.67   ODDS = 0.28   z_cluster = 0.228