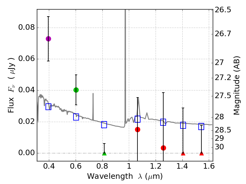
RXS0603+42-N IR detection object #5222

Color images and BPZ results
Catalog: 5222.cat
Black segments are analyzed here.   Roll mouse over color images to view segments.
Best viewed in a wide browser window (1200 pixels or more).   Download SED & P(z) plots to view larger versions.
In P(z) plots: Yellow lines mark the cluster redshift z = 0.228,  

Object #5222   x,y = (4096, 1726)   RA, Dec = (06:03:05.520, 42:15:01.44) = (90.77300, 42.25040)   BPZ = 1.612 [0.733--2.586]   type = 11.00 (SB11_A_0_l)   stellarity = 0.06   chisq2 = 5.46   ODDS = 0.26   z_cluster = 0.228