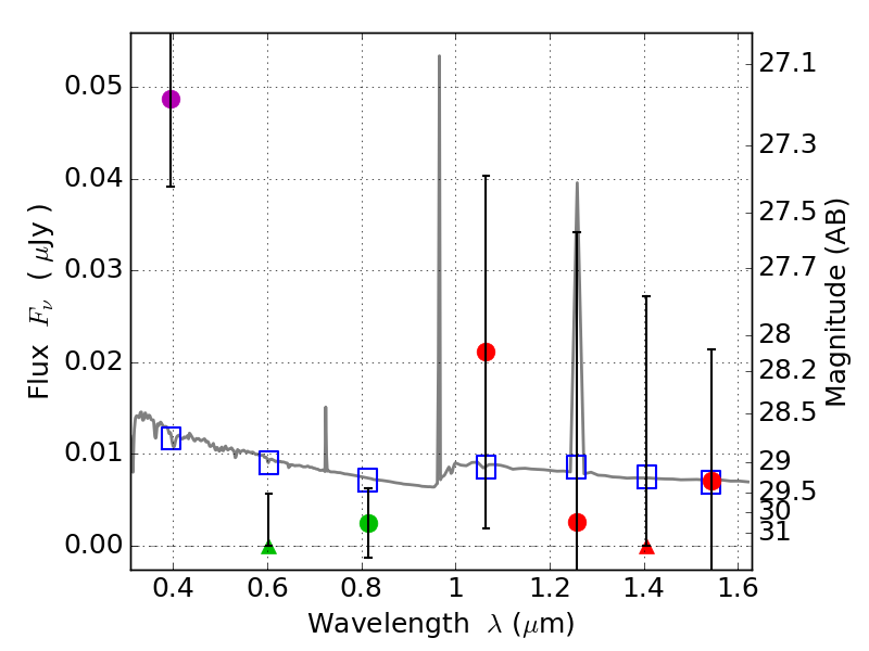
RXS0603+42-N IR detection object #5221

Color images and BPZ results
Catalog: 5221.cat
Black segments are analyzed here.   Roll mouse over color images to view segments.
Best viewed in a wide browser window (1200 pixels or more).   Download SED & P(z) plots to view larger versions.
In P(z) plots: Yellow lines mark the cluster redshift z = 0.228,  

Object #5221   x,y = (4115, 1685)   RA, Dec = (06:03:05.424, 42:14:58.92) = (90.77260, 42.24970)   BPZ = 1.586 [0.407--5.911]   type = 11.00 (SB11_A_0_l)   stellarity = 0.39   chisq2 = 4.81   ODDS = 0.12   z_cluster = 0.228