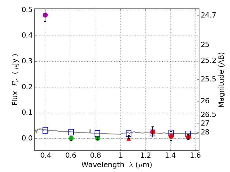
RXS0603+42-N IR detection object #5188

Color images and BPZ results
Catalog: 5188.cat
Black segments are analyzed here.   Roll mouse over color images to view segments.
Best viewed in a wide browser window (1200 pixels or more).   Download SED & P(z) plots to view larger versions.
In P(z) plots: Yellow lines mark the cluster redshift z = 0.228,  

Object #5188   x,y = (3703, 1766)   RA, Dec = (06:03:07.656, 42:15:03.60) = (90.78190, 42.25100)   BPZ = 1.697 [1.116--2.239]   type = 11.00 (SB11_A_0_l)   stellarity = 0.73   chisq2 = 81.08   ODDS = 0.45   z_cluster = 0.228