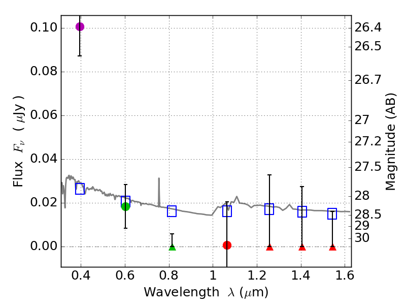
RXS0603+42-N IR detection object #5187

Color images and BPZ results
Catalog: 5187.cat
Black segments are analyzed here.   Roll mouse over color images to view segments.
Best viewed in a wide browser window (1200 pixels or more).   Download SED & P(z) plots to view larger versions.
In P(z) plots: Yellow lines mark the cluster redshift z = 0.228,  

Object #5187   x,y = (3995, 1869)   RA, Dec = (06:03:06.072, 42:15:09.72) = (90.77530, 42.25270)   BPZ = 1.700 [0.824--2.466]   type = 11.00 (SB11_A_0_l)   stellarity = 0.46   chisq2 = 9.60   ODDS = 0.31   z_cluster = 0.228