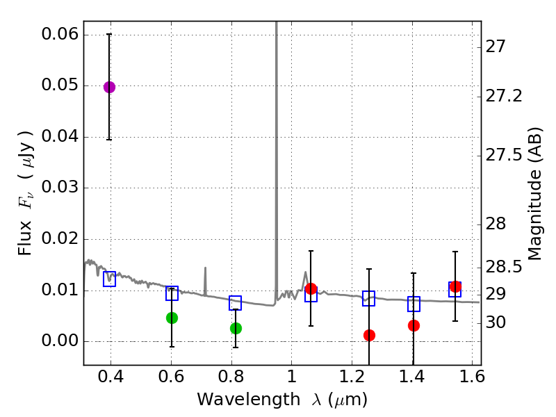
RXS0603+42-N IR detection object #5174

Color images and BPZ results
Catalog: 5174.cat
Black segments are analyzed here.   Roll mouse over color images to view segments.
Best viewed in a wide browser window (1200 pixels or more).   Download SED & P(z) plots to view larger versions.
In P(z) plots: Yellow lines mark the cluster redshift z = 0.228,  

Object #5174   x,y = (2550, 1772)   RA, Dec = (06:03:13.872, 42:15:03.96) = (90.80780, 42.25110)   BPZ = 1.554 [0.430--4.816]   type = 11.00 (SB11_A_0_l)   stellarity = 0.37   chisq2 = 4.02   ODDS = 0.13   z_cluster = 0.228