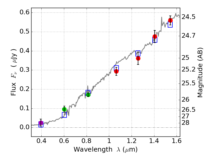
RXS0603+42-N IR detection object #5170

Color images and BPZ results
Catalog: 5170.cat
Black segments are analyzed here.   Roll mouse over color images to view segments.
Best viewed in a wide browser window (1200 pixels or more).   Download SED & P(z) plots to view larger versions.
In P(z) plots: Yellow lines mark the cluster redshift z = 0.228,  

Object #5170   x,y = (3638, 1758)   RA, Dec = (06:03:07.992, 42:15:03.24) = (90.78330, 42.25090)   BPZ = 0.616 [0.462--1.240]   type = 6.00 (Sbc_B10)   stellarity = 0.00   chisq2 = 0.37   ODDS = 0.34   z_cluster = 0.228