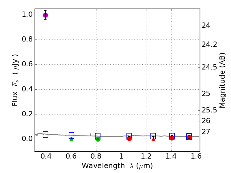
RXS0603+42-N IR detection object #5159

Color images and BPZ results
Catalog: 5159.cat
Black segments are analyzed here.   Roll mouse over color images to view segments.
Best viewed in a wide browser window (1200 pixels or more).   Download SED & P(z) plots to view larger versions.
In P(z) plots: Yellow lines mark the cluster redshift z = 0.228,  

Object #5159   x,y = (3748, 1773)   RA, Dec = (06:03:07.392, 42:15:03.96) = (90.78080, 42.25110)   BPZ = 1.700 [1.259--2.189]   type = 11.00 (SB11_A_0_l)   stellarity = 0.65   chisq2 = 180.40   ODDS = 0.45   z_cluster = 0.228