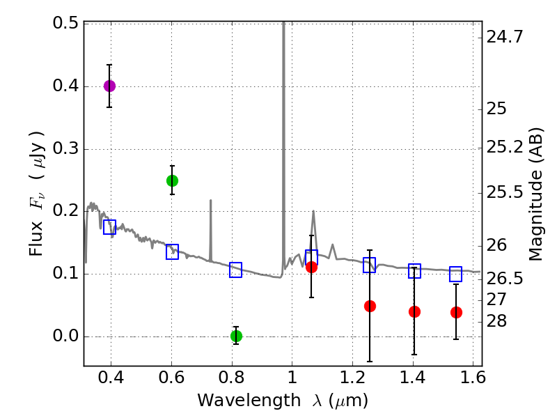
RXS0603+42-N IR detection object #5131

Color images and BPZ results
Catalog: 5131.cat
Black segments are analyzed here.   Roll mouse over color images to view segments.
Best viewed in a wide browser window (1200 pixels or more).   Download SED & P(z) plots to view larger versions.
In P(z) plots: Yellow lines mark the cluster redshift z = 0.228,  

Object #5131   x,y = (4089, 1747)   RA, Dec = (06:03:05.568, 42:15:02.52) = (90.77320, 42.25070)   BPZ = 1.611 [1.510--1.961]   type = 11.00 (SB11_A_0_l)   stellarity = 0.01   chisq2 = 24.16   ODDS = 0.60   z_cluster = 0.228