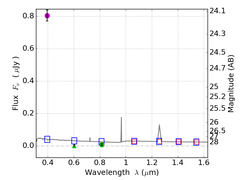
RXS0603+42-N IR detection object #5094

Color images and BPZ results
Catalog: 5094.cat
Black segments are analyzed here.   Roll mouse over color images to view segments.
Best viewed in a wide browser window (1200 pixels or more).   Download SED & P(z) plots to view larger versions.
In P(z) plots: Yellow lines mark the cluster redshift z = 0.228,  

Object #5094   x,y = (1317, 1786)   RA, Dec = (06:03:20.544, 42:15:05.04) = (90.83560, 42.25140)   BPZ = 1.593 [1.118--2.131]   type = 11.00 (SB11_A_0_l)   stellarity = 0.95   chisq2 = 489.20   ODDS = 0.33   z_cluster = 0.228