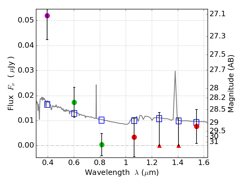
RXS0603+42-N IR detection object #5090

Color images and BPZ results
Catalog: 5090.cat
Black segments are analyzed here.   Roll mouse over color images to view segments.
Best viewed in a wide browser window (1200 pixels or more).   Download SED & P(z) plots to view larger versions.
In P(z) plots: Yellow lines mark the cluster redshift z = 0.228,  

Object #5090   x,y = (2727, 1789)   RA, Dec = (06:03:12.912, 42:15:05.04) = (90.80380, 42.25140)   BPZ = 1.764 [0.627--2.839]   type = 11.00 (SB11_A_0_l)   stellarity = 0.36   chisq2 = 5.16   ODDS = 0.21   z_cluster = 0.228