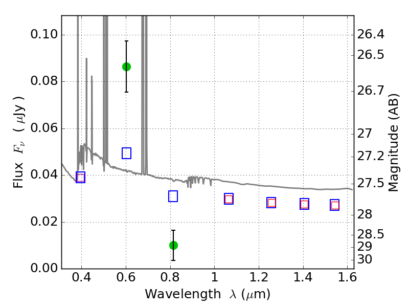
RXS0603+42-N IR detection object #5075

Color images and BPZ results
Catalog: 5075.cat
Black segments are analyzed here.   Roll mouse over color images to view segments.
Best viewed in a wide browser window (1200 pixels or more).   Download SED & P(z) plots to view larger versions.
In P(z) plots: Yellow lines mark the cluster redshift z = 0.228,  

Object #5075   x,y = (1224, 1792)   RA, Dec = (06:03:21.048, 42:15:05.04) = (90.83770, 42.25140)   BPZ = 0.028 [0.028--3.151]   type = 11.00 (SB11_A_0_l)   stellarity = 0.69   chisq2 = 18.79   ODDS = 0.06   z_cluster = 0.228