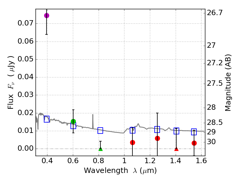
RXS0603+42-N IR detection object #5070

Color images and BPZ results
Catalog: 5070.cat
Black segments are analyzed here.   Roll mouse over color images to view segments.
Best viewed in a wide browser window (1200 pixels or more).   Download SED & P(z) plots to view larger versions.
In P(z) plots: Yellow lines mark the cluster redshift z = 0.228,  

Object #5070   x,y = (2640, 1796)   RA, Dec = (06:03:13.392, 42:15:05.40) = (90.80580, 42.25150)   BPZ = 1.701 [0.576--2.657]   type = 11.00 (SB11_A_0_l)   stellarity = 0.36   chisq2 = 9.25   ODDS = 0.27   z_cluster = 0.228