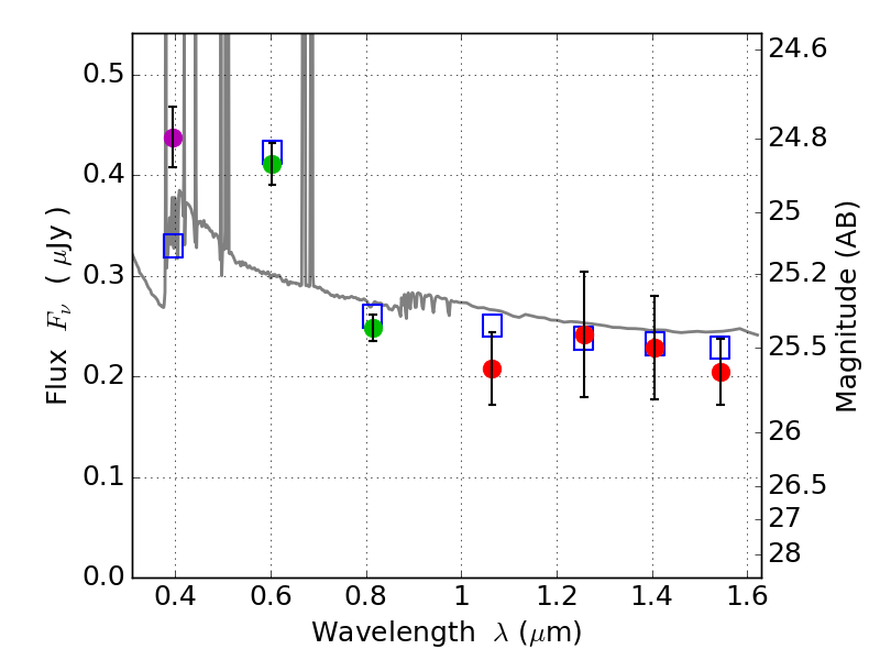
RXS0603+42-N IR detection object #5051

Color images and BPZ results
Catalog: 5051.cat
Black segments are analyzed here.   Roll mouse over color images to view segments.
Best viewed in a wide browser window (1200 pixels or more).   Download SED & P(z) plots to view larger versions.
In P(z) plots: Yellow lines mark the cluster redshift z = 0.228,  

Object #5051   x,y = (1707, 1805)   RA, Dec = (06:03:18.432, 42:15:06.12) = (90.82680, 42.25170)   BPZ = 0.021 [0.015--2.212]   type = 11.00 (SB11_A_0_l)   stellarity = 0.79   chisq2 = 2.08   ODDS = 0.13   z_cluster = 0.228