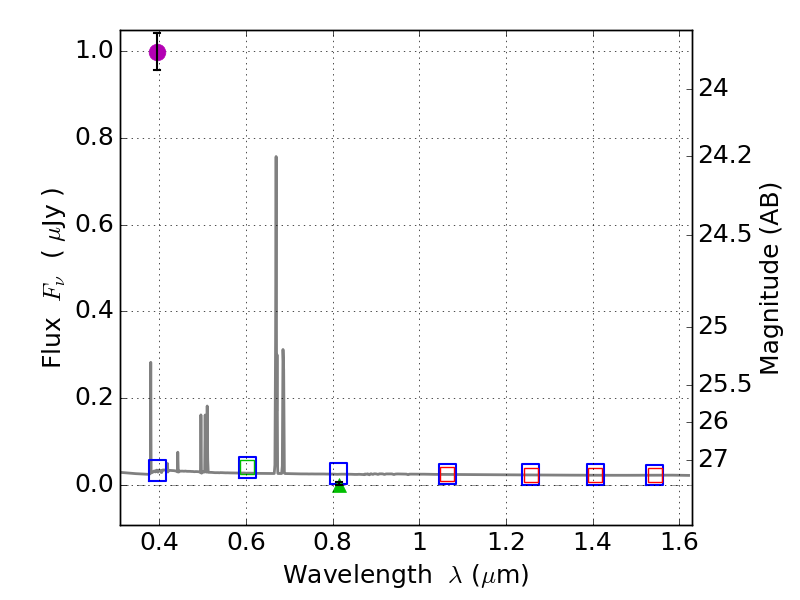
RXS0603+42-N IR detection object #5048

Color images and BPZ results
Catalog: 5048.cat
Black segments are analyzed here.   Roll mouse over color images to view segments.
Best viewed in a wide browser window (1200 pixels or more).   Download SED & P(z) plots to view larger versions.
In P(z) plots: Yellow lines mark the cluster redshift z = 0.228,  

Object #5048   x,y = (4492, 1945)   RA, Dec = (06:03:03.384, 42:15:14.40) = (90.76410, 42.25400)   BPZ = 0.024 [0.010--0.610]   type = 11.00 (SB11_A_0_l)   stellarity = 1.00   chisq2 = 531.70   ODDS = 0.82   z_cluster = 0.228