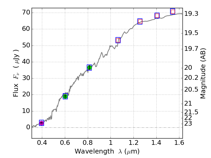
RXS0603+42-N IR detection object #5032

Color images and BPZ results
Catalog: 5032.cat
Black segments are analyzed here.   Roll mouse over color images to view segments.
Best viewed in a wide browser window (1200 pixels or more).   Download SED & P(z) plots to view larger versions.
In P(z) plots: Yellow lines mark the cluster redshift z = 0.228,  

Object #5032   x,y = (1531, 1858)   RA, Dec = (06:03:19.392, 42:15:09.00) = (90.83080, 42.25250)   BPZ = 0.224 [0.144--0.269]   type = 3.20 (Ell5_A_0 - Ell4_A_0)   stellarity = 0.86   chisq2 = 0.00   ODDS = 0.87   z_cluster = 0.228