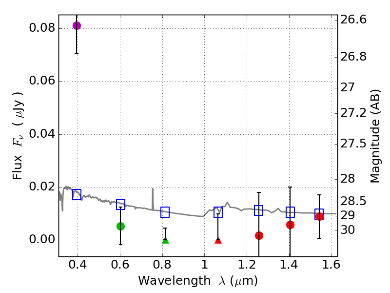
RXS0603+42-N IR detection object #5013

Color images and BPZ results
Catalog: 5013.cat
Black segments are analyzed here.   Roll mouse over color images to view segments.
Best viewed in a wide browser window (1200 pixels or more).   Download SED & P(z) plots to view larger versions.
In P(z) plots: Yellow lines mark the cluster redshift z = 0.228,  

Object #5013   x,y = (3812, 1816)   RA, Dec = (06:03:07.056, 42:15:06.84) = (90.77940, 42.25190)   BPZ = 1.699 [0.681--2.695]   type = 11.00 (SB11_A_0_l)   stellarity = 0.37   chisq2 = 10.69   ODDS = 0.23   z_cluster = 0.228