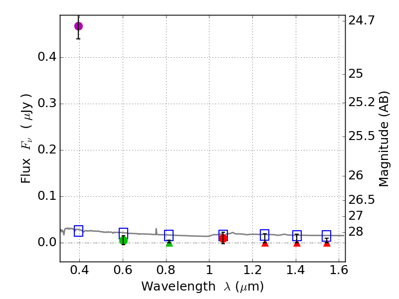
RXS0603+42-N IR detection object #5004

Color images and BPZ results
Catalog: 5004.cat
Black segments are analyzed here.   Roll mouse over color images to view segments.
Best viewed in a wide browser window (1200 pixels or more).   Download SED & P(z) plots to view larger versions.
In P(z) plots: Yellow lines mark the cluster redshift z = 0.228,  

Object #5004   x,y = (3585, 1818)   RA, Dec = (06:03:08.280, 42:15:06.84) = (90.78450, 42.25190)   BPZ = 1.702 [0.751--2.480]   type = 11.00 (SB11_A_0_l)   stellarity = 0.82   chisq2 = 64.25   ODDS = 0.35   z_cluster = 0.228