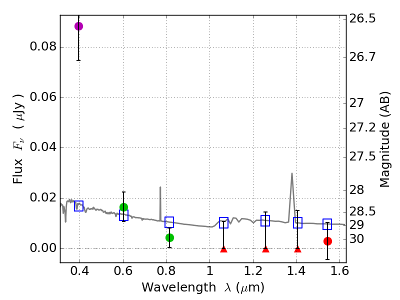
RXS0603+42-N IR detection object #4973

Color images and BPZ results
Catalog: 4973.cat
Black segments are analyzed here.   Roll mouse over color images to view segments.
Best viewed in a wide browser window (1200 pixels or more).   Download SED & P(z) plots to view larger versions.
In P(z) plots: Yellow lines mark the cluster redshift z = 0.228,  

Object #4973   x,y = (3532, 1831)   RA, Dec = (06:03:08.568, 42:15:07.56) = (90.78570, 42.25210)   BPZ = 1.764 [0.435--2.874]   type = 11.00 (SB11_A_0_l)   stellarity = 0.45   chisq2 = 8.02   ODDS = 0.22   z_cluster = 0.228