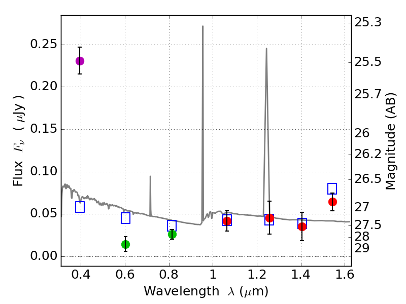
RXS0603+42-N IR detection object #4945

Color images and BPZ results
Catalog: 4945.cat
Black segments are analyzed here.   Roll mouse over color images to view segments.
Best viewed in a wide browser window (1200 pixels or more).   Download SED & P(z) plots to view larger versions.
In P(z) plots: Yellow lines mark the cluster redshift z = 0.228,  

Object #4945   x,y = (3688, 1845)   RA, Dec = (06:03:07.728, 42:15:08.28) = (90.78220, 42.25230)   BPZ = 1.557 [1.258--1.970]   type = 11.00 (SB11_A_0_l)   stellarity = 0.74   chisq2 = 30.34   ODDS = 0.52   z_cluster = 0.228