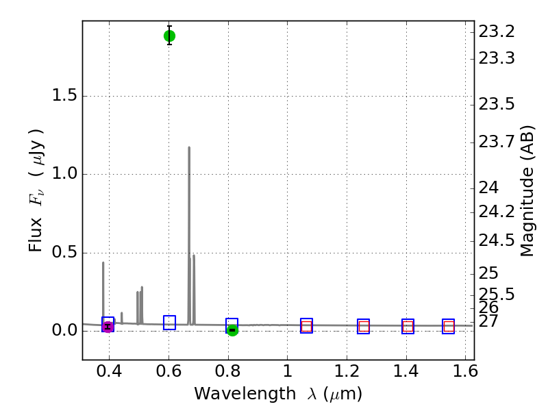
RXS0603+42-N IR detection object #4930

Color images and BPZ results
Catalog: 4930.cat
Black segments are analyzed here.   Roll mouse over color images to view segments.
Best viewed in a wide browser window (1200 pixels or more).   Download SED & P(z) plots to view larger versions.
In P(z) plots: Yellow lines mark the cluster redshift z = 0.228,  

Object #4930   x,y = (4263, 1843)   RA, Dec = (06:03:04.632, 42:15:08.28) = (90.76930, 42.25230)   BPZ = 0.024 [0.014--3.010]   type = 11.00 (SB11_A_0_l)   stellarity = 0.80   chisq2 = 973.10   ODDS = 0.22   z_cluster = 0.228