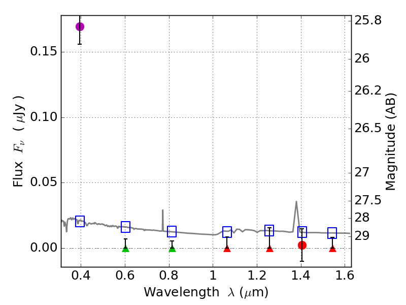
RXS0603+42-N IR detection object #4910

Color images and BPZ results
Catalog: 4910.cat
Black segments are analyzed here.   Roll mouse over color images to view segments.
Best viewed in a wide browser window (1200 pixels or more).   Download SED & P(z) plots to view larger versions.
In P(z) plots: Yellow lines mark the cluster redshift z = 0.228,  

Object #4910   x,y = (2961, 1848)   RA, Dec = (06:03:11.664, 42:15:08.64) = (90.79860, 42.25240)   BPZ = 1.763 [0.854--2.420]   type = 11.00 (SB11_A_0_l)   stellarity = 0.66   chisq2 = 32.73   ODDS = 0.34   z_cluster = 0.228