RXS0603+42-N IR detection object #4897

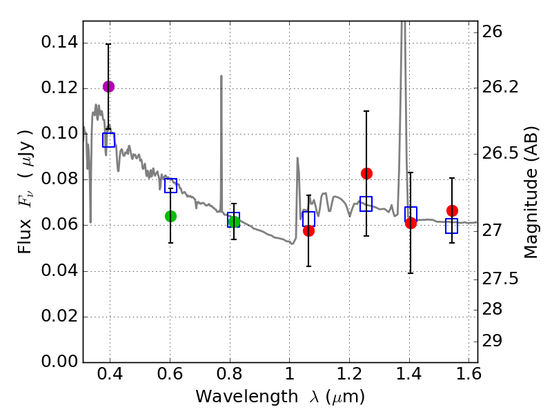
Color images and BPZ results
Catalog: 4897.cat
Black segments are analyzed here.   Roll mouse over color images to view segments.
Best viewed in a wide browser window (1200 pixels or more).   Download SED & P(z) plots to view larger versions.
In P(z) plots: Yellow lines mark the cluster redshift z = 0.228,  

Object #4897   x,y = (2550, 1851)   RA, Dec = (06:03:13.872, 42:15:08.64) = (90.80780, 42.25240)   BPZ = 1.763 [0.972--2.380]   type = 10.80 (SB11_A_0_l - SB3_B10)   stellarity = 0.36   chisq2 = 0.73   ODDS = 0.32   z_cluster = 0.228