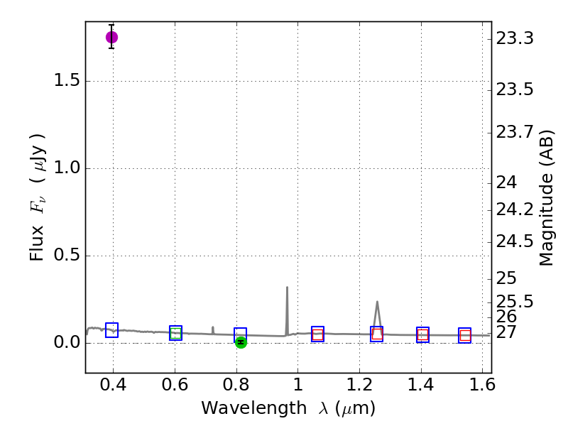
RXS0603+42-N IR detection object #487

Color images and BPZ results
Catalog: 487.cat
Black segments are analyzed here.   Roll mouse over color images to view segments.
Best viewed in a wide browser window (1200 pixels or more).   Download SED & P(z) plots to view larger versions.
In P(z) plots: Yellow lines mark the cluster redshift z = 0.228,  

Object #487   x,y = (3031, 3572)   RA, Dec = (06:03:11.280, 42:16:51.96) = (90.79700, 42.28110)   BPZ = 1.594 [1.321--2.077]   type = 11.00 (SB11_A_0_l)   stellarity = 1.00   chisq2 = 679.00   ODDS = 0.43   z_cluster = 0.228