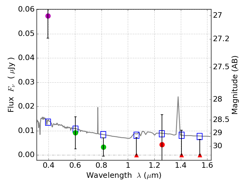
RXS0603+42-N IR detection object #4838

Color images and BPZ results
Catalog: 4838.cat
Black segments are analyzed here.   Roll mouse over color images to view segments.
Best viewed in a wide browser window (1200 pixels or more).   Download SED & P(z) plots to view larger versions.
In P(z) plots: Yellow lines mark the cluster redshift z = 0.228,  

Object #4838   x,y = (3274, 2084)   RA, Dec = (06:03:09.960, 42:15:22.68) = (90.79150, 42.25630)   BPZ = 1.763 [0.395--3.284]   type = 11.00 (SB11_A_0_l)   stellarity = 0.36   chisq2 = 6.86   ODDS = 0.21   z_cluster = 0.228